División de Polinomios
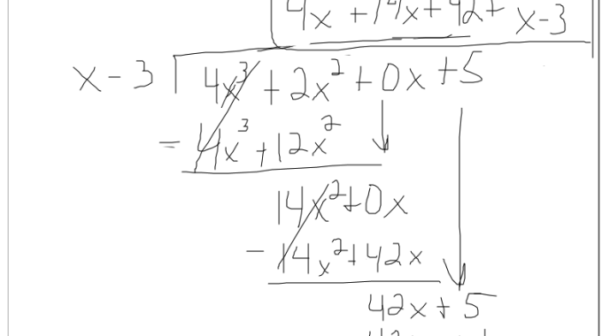
Comentario del Tutor: Elegí esta sesión ya que abarca un tema que no es muy usual de ver en Argentina , división de polinomios , por otro lado , en esta sesión el alumno no tenia un problema puntual para resolver ,…
Comentario del Tutor: Elegí esta sesión ya que abarca un tema que no es muy usual de ver en Argentina , división de polinomios , por otro lado , en esta sesión el alumno no tenia un problema puntual para resolver ,…
Student I'm working on composite functions, but do not understand what the "domain" is or how to find it. I can work through the problem, but am lost when it comes to the domain. Please help! (Tutor) Hi, my name…
El uso de colores puede ayudar a los estudiantes a entender los ejemplos. Colaborador: Giovanny Espinal, Tutor Colombiano de…
Círculo Center-radius form Donde (h , k) es el centro del círculo y R es el radio General Form Como cambiar de general form a center-radius form Suelen conocer este método como completar cuadrados. Para hallar el número necesario para…
Algunas veces tendremos que averiguar las posibles cantidades de “zeros” de un polinomio, sin averiguar cuales son estos. Para esto usaremos la regla de Descartes. Número de “Zeros” posibles Positivos Para obtenerla evaluaremos la cantidad de cambios de signo entre…
Hago una breve mención de los casos de factoreo que más utilizan, junto con los respectivos nombres en inglés. Diferencia de cuadrados. Difference of perfect squares Diferencia de Cubos. Difference of Cubes Suma de Cubos. Sum of Cubes Trinomios perfectos…
Comúnmente se manejan con dos sistemas de resolución de ecuaciones. Sustitución “Substitution” y Eliminación “Elimination”. La única diferencia con respecto a esto, es que en el sistema de eliminación, siempre eliminan una variable mediante la suma de ambas ecuaciones, nunca…
Reconstruir un polinomio dadas las raíces suele ser algo simple, basta escribir la forma factorizada para luego aplicar propiedad distributiva y lograr la forma polinómica. La dificultad de estos ejercicios muchas veces recae en que se brinda tan solo una…
Polinomios Pares “Even” (Mayor Grado Par) Coeficiente Principal Positivo Coeficiente Principal Negativo Polinomios Impares “Odd” (Mayor Grado Impar) Coeficiente Principal Positivo Coeficiente Principal Negativo
Cómo obtener las raíces de un polinomio a utilizando este método. Primero utilizamos el método de Gauss para evaluar las posibles raíces racionales de nuestro polinomio. Todos los factores del termino independiente divididos por todos los factores del “leading coefficent”…