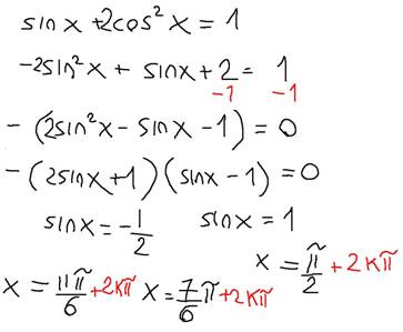
Funciones Trigonométricas: Tutoría Online completa con estudiante
Comentarios del Tutor: Elegí esta sesión dado que , a diferencia de la manera en que resolvemos este tipo de problemas en algunas partes de Sudamérica , en EEUU optan por hacerlo utilizando esta "regla" en lugar de emplear la identidad trigonométrica…











