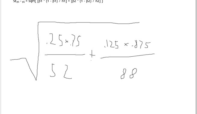
Error estándar en diferencia de porcentajes
Anahid nos muestra una excelente sesión de estadística, donde trataron el tema del error estándar. Problema: Tutor Welcome! How are you? Student hello! good! Tutor Tell me, what can I…
Anahid nos muestra una excelente sesión de estadística, donde trataron el tema del error estándar. Problema: Tutor Welcome! How are you? Student hello! good! Tutor Tell me, what can I…
Student [00:00:05] if two variables have a “near zero”correlation and you therefore conclude they are unrelated, you are also concluding they are: a)independent of each other b) perfect predictors of each other c) dependent upon each other d)all of the…
Comentarios del tutor: Algunas veces los estudiantes se conectan preguntando si un ácido o base es débil o fuerte sin tener conocimiento de la constante de disociación. Sin embargo su familiaridad experimental con los ácidos y/o algún conocimiento general les…
Resumen de la sesión: Esta sesión contiene elementos que, entre otras cosas, considero ayudan a los tutores a darnos cuenta cuál es el conocimiento previo del estudiante antes de comenzar a resolver un problema. Algo que nos puede orientar es indagar…
Comentario del Tutor: Elegí esta sesión ya que abarca un tema que no es muy usual de ver en Argentina , división de polinomios , por otro lado , en esta sesión el alumno no tenia un problema puntual para resolver ,…
La siguiente sesión muestra un/a estudiante que presenta un ejercicio típico sobre cruzamientos genéticos y predicción de genotipos y fenotipos. Aunque dice haber realizado la primera parte del ejercicio, opté por hacer una corrección de esta parte para asegurarme…
En las sesiones de Social Studies -fundamentalmente las que abordan temas históricos, religiosos, filosóficos o psicológicos-nos encontramos a menudo con que los estudiantes deben completar cuadros comparativos o descriptivos. En tal sentido, es esencial que puedan comprender el contenido…
Student’s question: If delta Hvap of water is 40.7 kJ/mol, how much heat is needed to vaporize 25 g. of water? q=n*delta(Hvap)=56.5? ------ I got this step. I just don't know what to do for the next problem. Repeat for…
Comentarios del Tutor: Elegí esta sesión dado que , a diferencia de la manera en que resolvemos este tipo de problemas en algunas partes de Sudamérica , en EEUU optan por hacerlo utilizando esta "regla" en lugar de emplear la identidad trigonométrica…
Student I'm working on composite functions, but do not understand what the "domain" is or how to find it. I can work through the problem, but am lost when it comes to the domain. Please help! (Tutor) Hi, my name…